4 डिग्री केल्विन पर, अधिकांश इलेक्ट्रो-ऑप्टिक सामग्री लड़खड़ाती है लेकिन imec ने अब पतली-फिल्म स्ट्रोंटियम टाइटेनेट (SrTiO) इंजीनियर किया है₃) जो कम ऑप्टिकल हानि के साथ रिकॉर्ड इलेक्ट्रो-ऑप्टिक प्रदर्शन प्रदान करता है, जो क्वांटम उपकरणों के लिए छोटे, तेज़ बिल्डिंग ब्लॉक्स की ओर इशारा करता है।
क्वांटम कंप्यूटर और डिटेक्टर परम शून्य के करीब तापमान पर चलते हैं। इन चरम स्थितियों में, यहां तक कि सर्वोत्तम कमरे के तापमान वाली सामग्री भी प्रकाश को कुशलतापूर्वक नियंत्रित करने के लिए संघर्ष करती है। यह सुविधा इलेक्ट्रो-ऑप्टिक नेटवर्क में जानकारी को एनकोड करने, रूट करने और परिवर्तित करने के लिए आवश्यक है, जिसका उपयोग कमरे के तापमान पर डेटा और टेलीकॉम अनुप्रयोगों में किया जाता है, लेकिन यह अल्ट्रा-लो तापमान क्वांटम लिंक के लिए भी तेजी से बढ़ रहा है।

में एक नया कागज आईएमईसी शोधकर्ता, केयू ल्यूवेन और गेंट विश्वविद्यालय के सहयोग से, रिपोर्ट करते हैं कि कैसे उन्होंने एक सामान्य क्रिस्टल, स्ट्रोंटियम टाइटेनेट (SrTiO) को फिर से इंजीनियर किया₃), इसलिए यह क्रायोजेनिक तापमान पर रिकॉर्ड प्रदर्शन के साथ व्यवहार करता है।
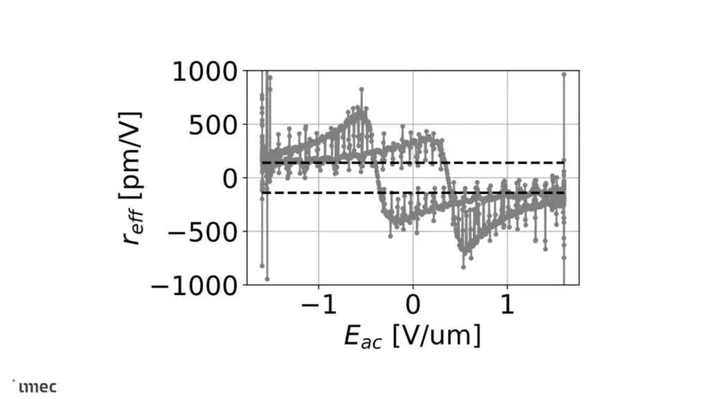
क्रिश्चियन हैफनर के नेतृत्व में और पीएचडी छात्रों अंजा उलरिच, कमल ब्राहिम और एंड्रीज़ बोलेन के नेतृत्व में शोध दल, 4 K पर 350 pm/V के करीब एक प्रभावी पॉकेल्स गुणांक प्रदर्शित करता है, जो इस तापमान पर किसी भी पतली-फिल्म इलेक्ट्रो-ऑप्टिक सामग्री के लिए सबसे अधिक रिपोर्ट किया गया है।
पॉकेल्स गुणांक मापता है कि जब आप विद्युत क्षेत्र लागू करते हैं तो किसी सामग्री का अपवर्तक सूचकांक (एक माध्यम से दूसरे माध्यम में गुजरते समय प्रकाश किरण कितना झुकता है) कितनी दृढ़ता से बदलता है। पॉकेल्स गुणांक जितना बड़ा होगा, उतनी ही कुशलता से आप प्रति वोल्ट प्रकाश को मॉड्यूलेट कर सकते हैं। अति-निम्न तापमान पर, अधिकांश सामग्रियां कमजोर हो जाती हैं, लेकिन इंजीनियर किए गए SrTiO₃ पतली फिल्म इसके विपरीत काम करती है, जिससे छोटे, तेज़ इलेक्ट्रो-ऑप्टिक घटक सक्षम होते हैं।

महत्वपूर्ण बात यह है कि टीम सीमित ऑप्टिकल नुकसान के साथ यह प्रदर्शन हासिल करती है। व्यावहारिक रूप से, कम नुकसान के साथ उच्च इलेक्ट्रो-ऑप्टिक ताकत के संयोजन का मतलब है कि वैज्ञानिक छोटे उपकरण बना सकते हैं जो कम फोटॉन बर्बाद करते हैं, जो क्वांटम सिस्टम के लिए आवश्यक है।
“क्वांटम-पैराइलेक्ट्रिक को क्रायो-फेरोइलेक्ट्रिक पतली फिल्म में परिवर्तित करके, हम एक शक्तिशाली पॉकेल्स प्रभाव प्रकट करते हैं जहां किसी की उम्मीद नहीं थी। यह 4 डिग्री केल्विन पर कॉम्पैक्ट, कम-नुकसान वाले इलेक्ट्रो-ऑप्टिक घटकों के लिए एक नई सामग्री लेन खोलता है,” ने कहा। हाफ़नरimec पर संबंधित लेखक। “यह इस बात का एक बेहतरीन उदाहरण है कि कैसे परमाणु पैमाने पर सामग्री इंजीनियरिंग डिवाइस स्तर की सफलताओं को अनलॉक कर सकती है।”
इस मौलिक शोध का दीर्घकालिक मूल्य स्पष्ट है: पतली-फिल्म के रूप में रिकॉर्ड प्रदर्शन के साथ क्रायोजेनिक-तैयार इलेक्ट्रो-ऑप्टिक सामग्री प्रदान करके, कार्य अगली पीढ़ी के क्वांटम इंटरकनेक्ट्स, मॉड्यूलेटर और ट्रांसड्यूसर के विकास को तेज करता है जो अंततः सुपरकंडक्टिंग प्रोसेसर और ऑप्टिकल नेटवर्क को पाट सकता है।
परिणाम एक अन्य अध्ययन के साथ बैक-टू-बैक प्रकाशित किए गए हैं, जिसमें दिखाया गया है कि, स्ट्रोंटियम टाइटेनेट को सावधानीपूर्वक ट्यून करके, 4 से 5 K पर विद्युत क्षेत्रों के प्रति इसकी प्रतिक्रिया को बेहद मजबूत और समायोज्य बनाया जा सकता है। जबकि दूसरे अध्ययन का नेतृत्व स्टैनफोर्ड अनुसंधान दल ने किया था, आईएमईसी शोधकर्ताओं ने दोनों प्रगति में योगदान दिया। संयुक्त रूप से, दोनों पेपर दिखाते हैं कि स्ट्रोंटियम टाइटेनेट के प्रदर्शन को कितनी दूर तक बढ़ाया और नियंत्रित किया जा सकता है, और इसे फोटोनिक चिप्स के उत्पादन के लिए उपयुक्त कम-नुकसान, वेफर-स्केल पतली फिल्मों में कैसे बनाया जा सकता है।
यह उपलब्धि बोल्ड, लंबे-क्षितिज अनुसंधान के समर्थन के imec के कार्यकाल ट्रैक मॉडल को दर्शाती है: संरक्षित समय, उन्नत निर्माण तक पहुंच, और क्रॉस-अनुशासनात्मक समर्थन जो प्रारंभिक वैज्ञानिक अंतर्दृष्टि को भविष्य के प्रौद्योगिकी प्लेटफार्मों में बदल देता है।
पहले लेखकों ने कहा, “इस परियोजना में फिल्म के विकास, विशेषज्ञ वेफर बॉन्डिंग और क्रायोजेनिक तापमान पर उच्च परिशुद्धता परीक्षण पर कड़े नियंत्रण की मांग की गई… एक सच्चा अंतर-अनुशासनात्मक प्रयास।” अंजा उलरिच, कमल ब्राहिम और एंड्रीज़ बोलेन. “हम उत्साहित हैं कि हमारी मौलिक खोज अब क्वांटम फोटोनिक्स के लिए नई डिवाइस अवधारणाओं को जन्म दे सकती है।”









